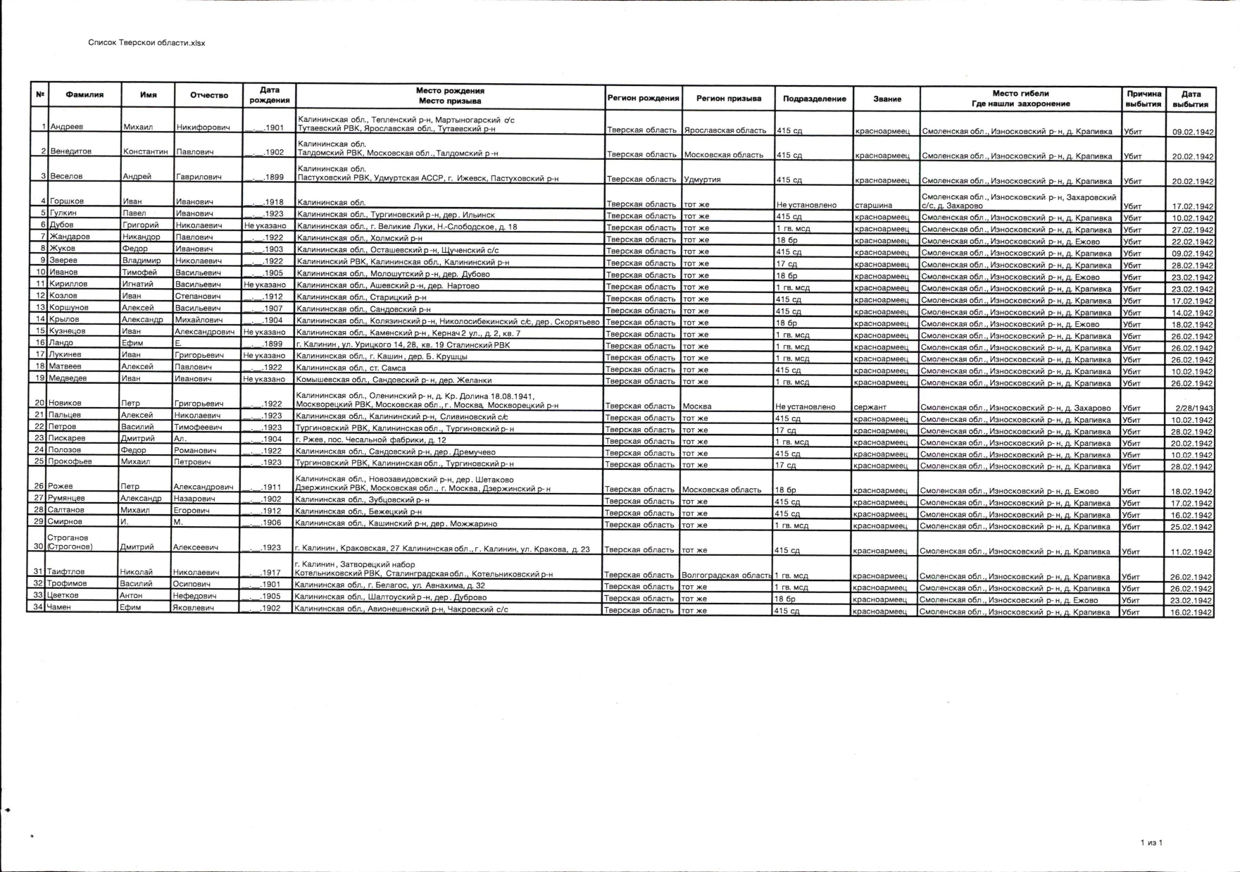
В прошлом году в Износковском районе Калужской области обнаружили и подняли останки 1 250 солдат и командиров Красной Армии, погибших в ходе Захаровской операции в феврале 1942 года.

Из них 34 воина - уроженцы тверской земли. Их имена удалось установить. Сейчас ведётся поиск родственников.

Среди защитников, отдавших свои жизни в ходе Захаровской операции, - бойцы из города Калинин, Старицкого, Кашинского, Калязинского, Сандовского, Оленинского, Бежецкого, Зубцовского и других районов. Семьям, где есть герои, не вернувшиеся с войны и чья судьба остаётся неизвестной, предлагают ознакомиться с этим списком.

Перезахоронить останки воинов планируют 5 мая на воинском мемориале «Ивановское поле» в Калужской области.


Фото: Андрей Зубов
Источник: Правительство Тверской области